For even deeper moisturizing use HADA LABO Goku-jyun Alpha Serum before applying HADA LABO Goku-jyun Alpha Milk or follow it with HADA LABO Goku-jyun Alpha Cream. Importance of the form of topical vitamin E for prevention of.
The affords a forum for the publication of works applying immunologic methodology to the furtherance of the neurological sciences.
Alpha tocopherol acetate. Alpha-tocopherol acetate is subsequently most commonly indicated for dietary supplementation in individuals who may demonstrate a genuine deficiency in vitamin E. Vitamin E itself is naturally found in various foods added to others or used in commercially available products as a dietary supplement. The recommended dietary allowances RDAs for vitamin E.
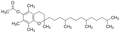
α-Tocopheryl acetate also known as vitamin E acetate is a synthetic form of vitamin EIt is the ester of acetic acid and α-tocopherol. Centers for Disease Control and Prevention says that vitamin E acetate is a very strong culprit of concern in the 2019 outbreak of vaping-associated pulmonary injury VAPI but there is not yet sufficient evidence to rule out contributions from. 1 IU of tocopherol is defined as ⅔ milligrams of RRR-α-tocopherol formerly named d-α-tocopherol or sometimes ddd-α-tocopherol.
1 IU is also defined as 1 milligram of an equal mix of the eight stereoisomers which is a racemic mixture called all-rac-α-tocopheryl acetateThis mix of stereoisomers is often called dl-α-tocopheryl acetate even though it is more precisely dldldl-α. Tocopheryl acetate enhanced photocarcinogenesis in an animal study. Gensler HL Aickin M Peng YM Xu M 1996.
Importance of the form of topical vitamin E for prevention of. Tocopheryl acetate enhanced photocarcinogenesis in an animal study. Gensler HL Aickin M Peng YM Xu M 1996.
Importance of the form of topical vitamin E for prevention of. Tocopheryl acetate is A natural tocopherol and one of the most potent antioxidant tocopherols according to the US. National Library of Medicines publication PubChem The antioxidants in vitamin E are known to protect the cell from damage that naturally occurs from free radicals.
These free radicals are formed in the body during normal processes such as energy. Alpha-tocopheryl acetate ATA is a specific form of vitamin E thats often found in skin care products and dietary supplements. Its also known as tocopheryl acetate tocopherol acetate or.
Fruit puree grape peach orange strawberry and raspberry corn syrup sugar modified corn starch gelatin concord grape juice from concentrate citric acid lactic acid natural and artificial flavors ascorbic acid vitamin C alpha tocopherol acetate vitamin E vitamin A palmitate sodium citrate coconut oil carnauba wax annatto color turmeric color. Tocopherol test alpha-tocopherol test vitamin E serum. What is it used for.
A vitamin E test may be used to. Find out if you are getting enough vitamin E in your diet. Find out if you are absorbing enough vitamin E.
Certain disorders cause problems with the way the body digests and uses nutrients such as vitamin E. Check the vitamin E status of premature babies. The Alpha-Tocopherol Beta-Carotene cancer ATBC prevention study was a four-arm randomized double-blind placebo-controlled trial designed to investigate the effect of α-tocopherol supplementation on lung cancer development in 29133 male smokers.
The study found a 32 reduction in the incidence of prostate cancer in participants given daily supplements of 50 mg of synthetic α-tocopherol. The naturally-occurring d- or RRR alpha-tocopherol is the most biologically active form and vitamin E activity is traditionally expressed in terms of equivalents of this isomer mg. Background Vitamin E is the name given to a group of water-insoluble plant-derived substances.
There are eight naturally-occurring isomers and a number of semisynthetic or synthetic homologues. HADA LABO Goku-jyun Alpha Milk provides deep nourishing hydration plus firming and smoothing conditioners for your face and neck. Its light texture is perfect for your daily routine.
For even deeper moisturizing use HADA LABO Goku-jyun Alpha Serum before applying HADA LABO Goku-jyun Alpha Milk or follow it with HADA LABO Goku-jyun Alpha Cream. Wait until the product is fully absorbed then. Turmeric extract dry vitamin E alpha-tocopherol acetate vitamin D3 vitamin A retinol palmitate.
Erectile Dysfunction Weight Loss Migraines Period Delay Asthma Sexual Health Stop Smoking. Delivery Info FAQ Reviews Complaints About Us. 7 903 1534071 WhatsApp.
7 903 1534071 Telegram. 1 mg alpha-Tocopherol RRR-α-Tocopherol oder D-α-T0 2 mg beta-Tocopherol. 132 mg gamma-Tocotrienol.
Für delta-Tocotrienol existiert keine offizielle Umrechnung. Die Angabe der aTE korreliert nicht mit der antioxidativen Wirkung. Im Gegenteil zeigen Tocotrienole sowie generell delta-.
La vitamine E est une vitamine liposoluble recouvrant un ensemble de huit molécules organiques quatre tocophérols et quatre tocotriénolsLa forme biologiquement la plus active est l α-tocophérol la plus abondante dans lalimentation étant le γ-tocophérolCes molécules sont présentes en grande quantité dans les huiles végétales. Elles agissent parallèlement à la vitamine C et. The affords a forum for the publication of works applying immunologic methodology to the furtherance of the neurological sciences.
Studies on all branches of the neurosciences particularly fundamental and applied neurobiology neurology neuropathology neurochemistry neurovirology neuroendocrinology neuromuscular research neuropharmacology and psychology which involve either immunologic. This supplement is made with dl-alpha-tocopherol acetate a form of synthetic lab-made vitamin E along with soybean oil and a softgel capsule. Phylloquinone phytomenadione menaquinone 1 VITAMIN B1.
D-alpha-Tocopheryl acid succinate mg. Dl-alpha-Tocopheryl acid succinate mg. Whilst Robert Forbes Associates has made every effort to be accurate errors may.
Alberts DS Goldman R Xu MJ et al. Disposition and metabolism of topically administered alpha-tocopherol acetate. A common ingredient of commercially available sunscreens and cosmetics.
Mavon A Raufast V Redoules D. Skin absorption and metabolism of a new vitamin E prodrug delta-tocopherol-glucoside. A-Lipoic Acid Acetate Replacing Factor Acide Alpha-Lipoïque Acide Alpha-Lipoïque R Acide DL-Alpha-LipoïqueAcide Lipoïque Acide Thioctique Acide 12-dithiolane-3-pentanoï.
We are a leading supplier to the global Life Science industry with solutions and services for research biotechnology development and production and pharmaceutical drug therapy development and production. We are a leading supplier to the global Life Science industry with solutions and services for research biotechnology development and production and pharmaceutical drug therapy development and production. Vitamin E as Natural d-alpha tocopherol Acetate 201 mg Niacin as Niacinamide Niacin 50 mg Pantothenic Acid as Calcium d-Pantothenate 50 mg Calcium as Calcium Carbonate Calcium Ascorbate 500 mg Super Antioxidant Blend 2896 mg.